Evaluation des surtensions temporaires dans les réseaux électriques dues aux résonances harmoniques de rang faible
Les surtensions temporaires (TOV) sont des phénomènes classiquement prises en compte dans les études de coordination de l'isolement. Ces surtensions sont définies dans les normes CEI comme "une surtension à fréquence industrielle de durée relativement longue", et la forme d'onde d'essai normalisée, qui consiste en "un essai à puissance industrielle de durée courte", est conforme à cette définition.
Membres
Chef de file (DK)
F. FARIA DA SILVA
Secrétaire (NL)
K. VELITSIKAKIS
Animateur Task Force (SE)
O. LENNERHAG
F. BARAKOU (NL), A. CRUZ (BR), J. MICHEL (FR), D. MILLS (UK), K. MUNJI (UK), J. PENG (UK), I. RAHIMI (CA), C. SKOVGAARD (DK), I. TANNEMAAT (NL)
Réviseurs
M. MARTINEZ DURO, S. RAMADHIN, M. VAL ESCUDERO
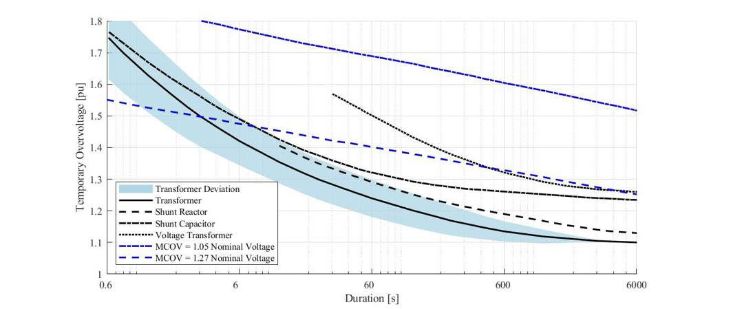
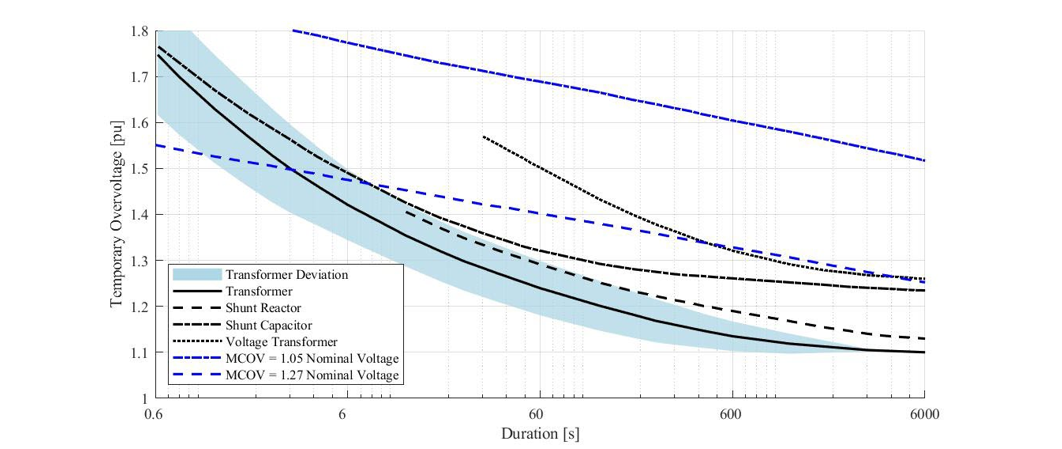
On considère que la durée d'une TOV impacte les caractéristiques de la tenue en tension, et ceci a été reconnu en 1998 par CIGRE avec la publication de courbes de tenue en fonction du temps pour différents équipements (Figure 1) dans “Caractéristiques de tenue aux surtensions temporaires des équipements à très haute tension”, ELECTRA 179).

Figure 1 - Caractéristiques de la tenue des équipements THT aux TOV à fréquence industrielle
La dimension importante qui manque dans la norme CEI, et dans les autres documents de référence, vient de ce que les fréquences autres que la fréquence industrielles ne sont pas prises en considération. Comme la norme CEI le note quand elle définit la TOV "Dans certains cas sa fréquence peut être plusieurs fois plus bases ou plus élevée que la fréquence industrielle". De même le document de référence CIGRE de 1998 mentionne que" ce problème devrait un sujet d'études supplémentaires".
La Brochure Technique (BT) se propose d'apporter un certain éclaircissement sur le sujet, en se focalisant sur les TOV provoquées par les résonances harmoniques de rang faible. Ce dernier type de TOV n'était pas significativement fréquent jusqu'à ces derniers temps, mais il est en train de devenir plus en plus probable avec l'utilisation grandissante des câbles dans les réseaux de transport, avec l'accroissement des distances entre les réseaux maillés et les centres de production raccordés par des liaisons radiales (par ex. les parcs éoliens offshore), et avec l'affaiblissement de la robustesse des réseaux (c. à d. puissance de court-circuit plus faible). Tous ces facteurs contribuent à décaler les résonances vers les fréquences harmoniques de rang faible (par ex. 2ème et 3ème rang). En cas d'excitation par un courant harmonique (par ex. une saturation de transformateur lors de la mise sous tension programmée ou lors d'une élimination de défaut), une TOV se produit contenant à la fois une composante à la fréquence industrielle et une composante harmonique significative. La tenue en tension pour ces conditions n'est définie ni dans les publications, ni prise en compte dans les essais normalisés des équipements, ce qui amène des interrogations sur l'impact potentiel de ces TOV sur le vieillissement des équipements, leur détérioration, et même leur défaillance.
La BT commence par une présentation générale des événements qui peuvent conduire à des TOV, en s'intéressant plus particulièrement aux résonances harmoniques de rang faible. Les impacts de ces composantes harmoniques sur l'isolation des transformateurs et des inductances shunt et sur les parafoudres (Sas) sont décrits. Une méthode nouvelle de modélisation et de sélection des parafoudres est proposée pour la simulation et les études des TOV contenant des composantes harmoniques.
De plus dans la BT on présente, et on décrit en détail, diverses méthodes d'évaluation des TOV contenant des harmoniques de rang faible. Les méthodes sont destinées aux opérateurs de système et aux experts...
Abonnez-vous pour lire l'article complet
Vous avez déjà un compte ? Connectez vous